Linearly interpolate values between two thresholds.
Usage
linear_interpolation(
x,
coordinate_one_x,
coordinate_one_y,
coordinate_two_x,
coordinate_two_y
)Details
Values are log-linearly interpolated at the x-coordinates
specified in x using the lower and upper coordinate arguments to
define the line. Values lesser or greater than these numbers are assigned
the minimum and maximum y coordinates.
Examples
# \dontrun{
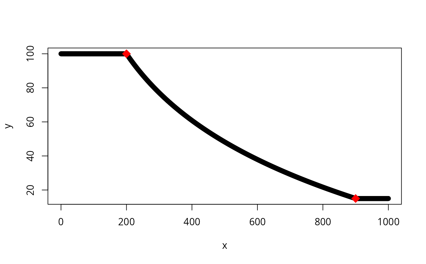
# create series of x-values
x <- seq(0, 1000)
# interpolate y-values for the x-values given the two reference points:
# (200, 100) and (900, 15)
y <- loglinear_interpolation(x, 200, 100, 900, 15)
# plot the interpolated values
plot(y ~ x)
# add the reference points to the plot (shown in red)
points(x = c(200, 900), y = c(100, 15), pch = 18, col = "red", cex = 2)
# }
